2022-2023学年广东省韶关市仁化县三校联盟八年级(上)期末语文试卷
发布:2025/7/25 8:0:16
一、基础与运用(共30分)
-
1.下列加点成语运用有误的一项是( )
组卷:26引用:2难度:0.8 -
2.下列句子中有语病的一项是( )
组卷:1184引用:9难度:0.9 -
3.依次填入下面句中横线处的句子,恰当的一项是( )
七年级上册的课文告诉我们,学习语文的天地非常广阔。我们既可以探访历史,________;又可以走进自然,________;还可以体察亲情,_______;更可以了解社会,________。
①观赏世间美景
②享受温暖盛宴
③感受风云变幻
④品味人世百态组卷:405引用:25难度:0.8 -
4.下列句子没有运用修辞手法的一句是( )
组卷:139引用:7难度:0.9 -
5.下列加点字的注音没有错误的一项是( )
组卷:8引用:1难度:0.8 -
6.下列关于名著的说法不正确的一项是( )
组卷:25引用:1难度:0.8 -
7.根据所给信息默写相应内容。
(1)我们民族的伟大精神,!(光未然《黄河颂》)
(2)独坐幽篁里,。(《竹里馆》王维)
(3)《春夜洛城闻笛》运用典故,表达了作者思乡之情的句子是:,。
(4)《逢入京使》中用夸张的修辞手法表现诗人对家乡对亲人的牵挂的句子是:,。
(5)《木兰诗》描写宿营地空寂荒凉的句子是:,。
(6)《望岳》中表现作者不畏艰难,勇攀高峰的句子是:,。组卷:3引用:1难度:0.8 -
8.阅读下面两段评论,结合《海底两万里》相关内容谈谈你的感受。
儒勒•凡尔纳是我一生事业的总指导。——潜水艇发明者西蒙莱克
凡尔纳是启发我发明的人。——无线电发明者马克尼组卷:136引用:3难度:0.6
二、阅读理解题(共45分)
-
9.阅读下面古诗,回答以下各题。
别老母
[清]黄景仁
搴帷①拜母河梁②去,白发愁看泪眼枯。
惨惨柴门风雪夜,此时有子不如无。
【注】①搴帷:揭开室内的帷幕,这是诗人出门的动作。②河梁:指河上的桥,它在古诗中常用来指代送别之地,源于李陵的诗:“携手上河梁,游子暮何之?”
(1)诗歌语言凝练,字字传神。朗读诗歌,补全对话。
小文:我觉得“白发愁看泪眼枯”中的“愁”字最传神,直接写出了老母亲不舍儿子离开时愁容满面的样子。
小语:我觉得该句中的字更传神,因为。
(2)诗歌以“此时有子不如无”作结,蕴含着诗人怎样的思想感情?结合诗句分析。组卷:22引用:1难度:0.4 -
10.阅读《陈太丘与友期行》,完成下面小题。
陈太丘与友期行,期日中。过中不至,太丘舍去,去后乃至。元方时年七岁,门外戏。客问元方:“尊君在不?”答曰:“待君久不至,已去。”友人便怒曰:“非人哉!与人期行,相委而去。”元方曰:“君与家君期日中。日中不至,则是无信;对子骂父,则是无礼。”友人惭,下车引之,元方入门不顾。
(1)解释下列加点字。
①太丘舍去
②去后乃至
③尊君在不
④元方入门不顾
(2)用现代汉语翻译“与人期行,相委而去”一句。
(3)文中特意强调“元方时年七岁,门外戏”有何用意?
(4)面对“友人”责骂自己的父亲,元方是如何回答的?这表现出他怎样的特点?组卷:178引用:3难度:0.9 -
11.阅读下面选文,完成问题。
春风来时话风筝 ①四月春暖,又到了“忙趁东风放纸鸢”的季节,昆明湛蓝的天空中风筝渐渐多了起来。风筝,是我国的一种传统民间工艺品,距今已有两千年多年的历史。中国最早出现的风筝是用木材做的,称为“木鸢”。东汉时期,蔡伦改进造纸术后,才开始出现“纸鸢”。
②春秋战国时,风筝主要用于获取、传递信息,它就像被人们驯养用来传信的老鹰。《鸿书》载:“公输般制木鸢以窥宋城。”到了唐代,风筝的用途逐渐娱乐化。起初放风筝只限于皇宫贵族,大概到唐末,才发展为大众化的娱乐项目。至宋代,放风筝已具有锻炼身体的功能,受到普通百姓的喜爱。
③我国风筝流派众多,比较有代表性的有潍坊“鲁蝶”、北京“京燕”、云南“滇蜂”等。“滇蜂”源于元朝时期。当时,北方风筝被带到昆明,但因昆明地处高原,那些适宜在北方风和日丽的气候条件下放的风筝,遇到昆明的强风或飞不起来,或无法留空。于是,昆明人对北方风筝进行改良:采用传统竹篾条扎出了“元宝状”翅翼与三角形身段结合的滇式风筝。采用这种结构的风筝可以完美地自我调节风向和平衡重量,不仅能抵御强风,在乱风中也能稳定飞行,根本不需要传统风筝拖在身后的那条长“尾巴”。由于它的形状很像蜜蜂,于是人们给它取了一个形象而可爱的名字——“滇蜂”。
④滇蜂的制作步骤主要有扎、糊、绘等。随着制作工艺的进步,当代滇式风筝在传承传统扎制方
的同时,还创新运用碳纤维复合材料扎绑骨架,扎出了更耐飞、更坚韧的风筝。此外,还用风筝布代替传统丝绢,既保留了传统风筝的韵味,又让风筝更易收藏、更亲民。人们还将民族风情、历史传说等绘制于风筝上,让风筝成为了历史文化的载体。
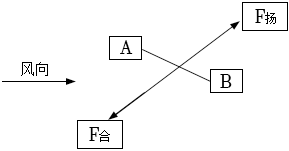
⑤当精巧的滇蜂自由翱翔于蓝天时,我们不禁会好奇,风筝是如何停留在空中的呢?让我们来分析一下拽住线轴时,风筝在空中的受力情况。如图所示,AB代表风筝,它一共受到以下几个力的作用:风对风筝产生的向上的扬力F扬,线对风筝产生的斜向下的拉力与风筝自身的重力产生的合力F合。
⑥当拉力和重力产生的合力F合与向上的扬力F扬达到平衡时,风筝就能老老实实地待在天上。当拉力和重力产生的合力F合大于扬力F扬,此时风筝失去平衡,风筝就会向下运动,有掉落的可能。当风速和风向发生变化时,我们需利用线轴适当收放风筝线或是改变风筝线的角度,就可以相应地改变拉力的大小和方向,使风筝再次达到平衡,风筝就又能稳稳地在天空中翱翔了。
⑦风筝一直和中国传统文化息息相关。古人认为放风筝可以带走一年所积之霉气,至今有的地方仍保留着清明节放风筝的习俗。人们也常借各式各样的风筝,如“福寿双全”“鲤鱼跳龙门”“百鸟朝凤”“四季平安”等,表达吉祥美好的寓意。同学们,选个晴爽的周末去放风筝吧,让我们把对未来美好的期待和风筝一起放飞!
(节选自网络,有删改)(1)请认真阅读全文,完成下面的图表。
①
②
(2)选文第②段画线句使用了哪种说明方法?有何作用?
(3)关关约你一起制作滇蜂,请你结合第④段内容选出正确的制作步骤。
①用浆糊将准备好的绢纸小心地粘贴在骨架上
②将风筝主体与圆形架子捆扎在一起,固定好
③用削好的竹篾条扎出带有“元宝状”翅翼的主体,再扎出一个小圆形做头部
④在绢纸上用画笔绘制图形并着色
A.④③②①
B.④③①②
C.③②④①
D.③②①④
(4)请结合选文⑤⑥段内容,说说链接材料中黛玉松开籆子后风筝飞走的原因。
【链接材料】黛玉果见风力紧大,过去将篮子(绕线的工具)一松,只听得一声豁喇喇响,登时线尽,风筝随风去了。(曹雪芹《红楼梦》)组卷:13引用:1难度:0.5 -
12.阅读下面的文章,完成下面小题。
采春
乔忠延 ①冬季日短夜长。农人说,十月里天碗里转,好婆姨做不熟三顿饭是呀,刚刚日头还在当顶,扫了扫院子,喂了喂鸡,出溜一下便滑到西山梁上去了。白日真短,短得匆匆忙忙,慌慌张张,气气喘喘。城里人也不例外,上个班两头不见太阳。早晨起床屋里黑,晚上下班外头黑,回到家里倒是亮堂,可那不是阳光,却是灯光,忙忙碌碌一天就这么过去了。
②日子这么紧紧张张,应该过得快吧?没有,丝毫也没有。非但没有觉得冬日短暂,一个个都感到缓慢,要不为啥总见书卷报端出现漫长的冬季呢!冬季的漫长是人们感觉出来的,不,是人们煎熬出来的。日光淡淡的,没有一点温巴,寒气就像草原上的群狼到处肆虐。伸出手,手冻得疼。走几步路,脚冻得疼。手脚冻木了,不疼了,鼻尖却辣辣地疼。疼得眼睛直想流泪,却强忍着不敢流,怕流出来把冰碴子挂在脸上。这日子还能说是过吗?不,是在熬,在煎熬。一煎熬日子就长,唉,好漫长,好漫长的冬天呀!
③好不容易熬到立春了,可春天只在日历上露脸,天地间还是冬天的鬼样子。寒寒的秃秃的,没有一点生机。就盼惊蛰,一天一天盼,盼来了惊蛰,似乎也没啥改观。寒还在寒秃还在秃,要摧毁冬日根深蒂固的营盘不那么容易。没有耐心,没有韧劲,还真不行,那就打消脾气,耐下性子,慢慢熬吧!
④忽一日,地皮软了。踏上去不再像往日那样硬邦邦,倒似是踩在了海绵上,软软的,柔柔的。抬起头,高高的杨树梢垂挂起絮穗穗,萧疏的柳树条奓开了黄翅翅。哈呀,河边沿,垄堰根,一色的绿气正在蔓延。真让人摸不着头脑,春天却悄无声息地来了。
⑤好啊,春来了!
⑥春来了,哪里还能在屋里憋得住?憋屈了一冬天的肢体早该展放了,憋闷了一冬天的浊气早该释放了。街市上不行,挤窄;村巷里不行,弯折。只有阔野,只有山梁,才是展放肢体、释放浊气的理想地方。二月二,龙抬头。人们出了城,出了村,原野里、山梁上到处是人。小路上是人的溪流,大路上是人的河流,平地上是人的海洋,山巅上是人的峰峦。随便拦住一个打问,这是干什么?回答简练干脆:采春。
⑦采春!
⑧采春?怎么个采法?采法不复杂。满地是春气,走一走浑身是春情;小溪流春水,洗一洗满脸是春意;山壑荡春风,爬一爬萦怀是春温更别说,枯树丛里的松树叶柏树叶早变绿了,绿得像是点缀的翡翠;更别说,崖壁岩角的连翘花山桃花早已开了,粉嘟嘟的像是仙女的笑靥。有人手痒了,折一节松枝带回去,往花瓶里一插,满屋子清香,春天的气息驱走了冬日的萎靡。有人心痒了,掐一朵粉桃花簪在乌黑的头发上,走到哪儿,都是笑笑的,笑开了一个人见人爱的春温时令。采春,采出的是欢乐,采出的是笑颜!
⑨还有人比他们更贪婪,见到春色手也痒心也痒。手痒没动手,心痒大动心,把那春意、春情、春光,甚而春枝春叶、春蕾春花,装满一肚子,塞满一脑子。回到家里放不下躺在床上推不开,睡在梦里仍是春水流淌,春鸟啼鸣,春条喷绿,春花怒放……梦醒了,人未醒,反而醉得迷迷离离,痴痴幻幻。迷离中展开纸,痴幻中拿起笔,于是,世人看见:“绿柳才黄半未匀”,那是杨巨源采回来的春天;“二月初惊见草芽”,那是韩愈采回来的春天;“昨日春如,十三女儿学绣。一枝枝、不教花瘦”,那是辛弃疾采回来的春天;“离离原上草,一岁一枯荣。野火烧不尽,春风吹又生”,那是白居易采回来的春天。
⑩凡人采回的青枝绿叶,香着香着淡了,散了;凡人采回的蓓蕾花朵,开着开着败了,干了。而诗人采回的春天,却永恒地绿着,香着。白居易的春草,从唐朝绿满书卷,绿到了今天;辛弃疾的春花,从宋代香满庭堂,香到了今天。
(选自《散文百家》有改动)(1)阅读①—③段内容,找出最能概括人们在冬天感受的一个词语。
(2)同样写“春”,朱自清开篇就表明心意:“盼望着,盼望着,东风来了,春天的脚步近了。”而本文作者则先用较多笔墨写人们在冬天的感受,然后再写春回大地你更喜欢哪一种写法?请简述理由。
(3)文章使用了很多叠词,请以第④段为例,简要分析这些叠词的作用。
(4)赏析下面句子的表达效果。
崖壁岩角的连翘花山桃花早已开了,粉嘟嘟的像是仙女的笑靥。
(5)文章结尾说“而诗人采回的春天,却永恒地绿着,香着”。请说说你对这句话的理解。组卷:10引用:1难度:0.5
三、写作题(共45分)
-
13.题目:这是我的选择
人生当中有很多时刻需要我们做出选择,那么你是否能够回忆起来,在这些时刻我们面临着怎样的情境呢?在这些情境下我们又做出了怎样的选择?这选择的背后是否有着难以言说的复杂原因呢?在做这些选择时你内心又有着怎样复杂的情感呢?……
请以此为题,写一篇600字以上的文章,不得透露个人相关信息,不得抄袭。组卷:37引用:3难度:0.7

