2023-2024学年辽宁省丹东市宽甸县九年级(上)期末英语试卷
发布:2025/7/25 9:0:13
一、听问题,选择应答语。(录音播放一遍)
-
1.(1)Why does the boy feel terrible?
A.Because he ate nothing.
B.Because he ate too much.
C.Because he ate hot food.
(2)How long has the boy been like this?
A.One day.
B.Two days.
C.Three days.组卷:0引用:1难度:0.0 -
2.听录音,判断句子正误,正确的用√表示,错误的用×表示
Grandpa often goes to the beach.组卷:1引用:1难度:0.9 -
3.Who does Ann often go shopping with?
A.Her aunt.
B.Her mother.
C.Her friends.组卷:0引用:1难度:0.5 -
4.Where does the conversation probably take place?
A.At bookshop.
B.At a hotel.
C.At a library.组卷:0引用:1难度:0.5 -
5.A.No way.
B.Good idea.
C.I'd love to.组卷:0引用:1难度:0.0
二、听五段短对话,根据其内容选择正确答案。(录音播放一遍)
-
6.What's the boy's English name?
A.Tim.
B.Tom.
C.Jack.组卷:0引用:1难度:0.0 -
7.(1)What's the girl's last name?
A.Black.
B.Chen.
C.Brown.
(2)What is the boy's first name?
A.Eric.
B.Dale.
C.Bob.
(3)What is Alice's telephone number?
A.It's758-1314.
B.It's758-1214.
C.It's758-1216.组卷:0引用:1难度:0.5 -
8.How was Lucy's last Sunday?
A.Great.
B.Bad.
C.Boring.组卷:0引用:1难度:0.5 -
9.What's Wang Wei interested in?
A.Learning English.
B.Playing tennis.
C.Studying history.组卷:1引用:2难度:0.5 -
10.(1)Where do you think Betty would go for the coming holiday?
A.To the mountains.
B.To the seaside.
C.To the countryside.
(2)What's Tom interested in doing?
A.Climbing mountains.
B.Fishing.
C.Swimming.组卷:0引用:1难度:0.5
三、听长对话,根据其内容选择正确答案。(录音播放两遍)
-
11.A.Sam.
B.Tom.
C.We don't know.组卷:1引用:1难度:0.5 -
12.A.Yes,I did.
B.No,I haven't.
C.Yes,I do.组卷:0引用:1难度:0.5
四、听短文,根据其内容选择正确答案。(录音播放两遍)
-
13.(1)How old is Jack?
A.10.
B.12.
C.14.
(2)Why doesn't Jack like playing basketball?
A.Because it's boring.
B.Because it's dangerous.
C.Because he is not tall.
(3)Who is Jack's hero?
A.Li Na.
B.Liu Xiang.
C.Yao Ming.
(4)What club is Jack in?
A.The Tennis Club.
B.The Running Club.
C.The Football Club.
(5)How can we tell Jack about our favourite sports?
A.We can call him.
B.We can write a letter to him.
C.We can send an email to him.组卷:0引用:1难度:0.5
五、阅读下面语言材料,从每题所给的A、B、C、D四个选项中选出最佳选项。
-
14.According to the traditional Chinese lunar calendar(阴历),Chinese Spring Festival,also known as Chinese New Year,begins with the New Moon and ends on the Full Moon,which is from the New Year Day to the Lantern Festival.The date is changed according to the Chinese lunar calendar every year.
The origin(起源) of the Spring Festival is hard to say clearly.However,it is believed that the word"Nian",was first the name of a monster(怪兽).It ate humans at the night before the beginning of a new year.People were very scared.Accidentally,people found that Nian was afraid of three things,red,fire and loud noise.So later,people would get together on New Year's Eve when Nian was about to arrive,and stick(贴) red paper cuttings,hang red lanterns and set off fireworks,in order to drive away the monster.The three special things did help.In this way,Nian never came back again.From then on,when the monster is driven away,people will always happily say to each other,"This year has passed."
There are many traditional activities in the most important festival for Chinese,such as sticking red paper cuttings and hanging red lanterns.The most important one is having family dinner on New Year's Eve together with all the family members.No matter how difficult the trip is,no matter how far they are away from home,people will come back home at the end of this year.Home,for every Chinese,is the only destination(目的地) at this time.Of course,in the family dinner,delicious food is also an important part.Jiaozi and tangyuan are special food for New Year.People think if one can eat the jiaozi with a coin,he or she can have good luck next year.For tangyuan,people in the north of China like eating sweet ones,while salty ones in the south of China.The Spring Festival Time New moon:the first day of the month Full moon:the (1) day of the monthOrigin(Nian) It ate humans on New Year's (2) .It was afraid of three things. People did the three things to prevent Nian from eating humans. (3) Activities a.Stick red paper cuttings b.Hang red lanterns c.Have family dinner.People will deal with all the problems and (4) getting together to have family dinner.Special food a.Jiaozi:The person can have good luck after eating the jiaozi with a coin. b.Tang yuan:It has(5) in different parts of China.组卷:21引用:1难度:0.5 -
15.I worked as a volunteer at a Children's Hospital in Cape Town,South Africa.My job was to help make the kids feel happy while they were staying in the hospital.Sounds interesting,right?But some people can't understand why I did it.
Let me tell you why I did it.The main reason was to help create a better future for people,no matter who or where they are.In this big world,so many people need help.Look at the children in the hospital where I worked.They felt scared and lonely facing all the difficulties since their parents also had other kids to care for.So,why not try to help as many people as possible?That was my thought.
Volunteering in Africa and helping people there let me see other parts of this planet.And volunteering at the hospital showed me a side of the world I did not know about before.I met people from all over the world,each with their own ideas,experiences and dreams.We got to share so much with each other.
I really felt close to these people.We shared amazing memories and grew together.I wanted to go back to my country with new experiences and ideas so that,together,we can help more people and create a better future for everyone!
(1)What did the writer do to help the kids in the hospital?
A.Worked as a doctor there.
B.Cooked food for the kids.
C.Tried to make the kids feel happy.
D.Helped the kids find their parents.
(2)What did the writer learn from the volunteer work?
a.More knowledge about the world.
b.A better job back home.
c.Many good memories.
d.Knowledge of how to cure diseases.
e.New experiences and ideas.
A.abc
B.ace
C.bed
D.cde
(3)Why did the writer write this story?
A.To describe his/her experiences in Cape Town.
B.To show the hard life of South Africa.
C.To share his/her dreams for the future.
D.To call on everyone to volunteer in Africa.组卷:4引用:2难度:0.9 -
16.This is my father.
His name is Paul.He's 42 years old.My father gets up early on weekdays.He has breakfast and then goes to work.He often takes the subway to work.My father is a trainer(培训师),but he doesn't train kids.He trains young workers.He is always busy.My father usually gets home at a quarter to seven.Sometimes he helps my mother cook dinner.After dinner he always helps me with my homework.In the evening my father reads books.He loves reading.
On weekends(周末) he does different things.Sometimes he goes to the library and reads books there.Sometimes he goes to a concert(音乐会).My father loves music but I think concerts are boring.He seldom sees a movie on weekends.He often watches TV in the evening on weekends.
I love my father very much.
根据材料内容,选择最佳答案。
(1)What does Paul like?
A.Music and movies.
B.Driving and reading.
C.Reading and music.
D.Cooking and movies.
(2)Which of the following is TRUE?
A.Sometimes Paul helps cook breakfast.
B.Paul usually gets home at six forty-five.
C.Paul trains kids on weekdays.
D.Paul often sees a movie on weekends.
(3)What does the third paragraph mainly talk about?
A.Father on weekdays.
B.Busy father.
C.Father on weekends.
D.Kind father.
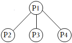
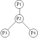
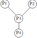
(4)What is the structure(结构) of the passage?(P-Paragraph)
A.
B.
C.
D.
(5)What is the best title(标题) for the passage?
A.Paul's busy work.
B.Paul's family.
C.Paul's life.
D.A boy and his father.组卷:2引用:1难度:0.5 -
17.In a way,our moods(情绪)change with the weather.Going to a warm place in the middle of winter can make our moods better.Pleasant weather can improve moods and memory.However,extremely hot weather can make us feel more tired and bored.It spoiled our moods.
In a study,people who spent time outdoors in warm weather were happier than those who spent all day inside.The former(前者)got better scores in running tests.
The best temperature for people is about 22.2 ℃.To improve moods,a person must spend at least 30 minutes outside in warm weather.Spending time indoors when the weather outside is so nice tends to (趋向) lower moods.It's mostly because we don't like to be inside when spring arrives.It is possible that inside activities seem boring.
Maybe the activities connected with being outside influence our moods.Warm weather makes us happier.Warm weather is connected with the beach,fun outdoor sports,happy people,and so on.It brings back childhood memories of playing outside all day.
Of course,we can wake up every day and decide how we'll feel that day.If it's rainy,that won't necessarily make us unhappy.We'll just have to bring our umbrellas out and cheer up those who are feeling sad!
(1)What influence does hot weather give to us?
A.Adding more pressure.
B.Improving our moods and memory.
C.Making us feel more tired and bored.
(2)What does the underlined word "spoiled" mean in Chinese?
A.破坏
B.改善
C.发现
(3)Why does warm weather make us happier?
A.Because we like spending time inside in warm weather.
B.Because warm weather is connected with outdoor activities.
C.Because outdoor activities can only be done in warm weather.
(4)What's the writer's opinion according to the last paragraph?
A.We should wake up early.
B.Rainy days make us unhappy.
C.Our moods are mainly decided by ourselves.
(5)What's the best title of the passage?
A.Rainy Days Make Us Sad
B.The Best Temperature for Humans
C.How the Weather Influences Our Moods组卷:5引用:4难度:0.5
六、阅读短文,从方框内所给的选项中选出可以填入空白处的最佳选项,其中有一个多余的选项。
-
18.We all have a first name and a last name,or family name.But for many of us,it doesn't stop there.(1)
They mostly come from our real names.
Some of them are obvious (明显的):Tom is short for Thomas;Sam is short for Samuel. (2)Take the name William as an example.It can be shortened to Will,and also Bill.(3)During the Middle Ages,people liked to change letters to make names easier to pronounce.For example,a hard consonant (辅音) like Bis clearer than soft ones like W.Bill sounds much clearer than Will.Interestingly,the people of England even called King Wiliam Ⅲ,who ruled in the 17th century, "King Billy".
Richard has also been a popular name in England for centuries.It was commonly shortened to Richand Rick to save time.(4)So Rick became Dick.This nickname became so popular that it included in an idiom. "Every Tom,Dick and Harry" means everybody!
(5)England has had eight king Henrys.Yet most of them preferred to be called Harry.It is a tradition that continues today.The British Prince Harry's real name is Henry.I wonder if Harry Potter's real name is Henry.
A.We also have nicknames.
B.But how does Bill come from William?
C.The most popular name for English kings has been Henry.
D.Also,like the name William,people liked to make rhyming names.
E.Yet there are some nicknames whose origins are more mysterious.组卷:1引用:1难度:0.5
七、完形填空,阅读短文,理解其大意,从A、B、C、D四个选项中选出可以填入空白处的最佳选项。
-
19.Look!Here is a photo(1)
my family.I have a big family.My(2)are very old now.My grandfather is 70 years old and my grandmother(3)69 years old.I have an(4).He's my father's(5).I have two(6).They're my mother's sisters.I have(7)cousins-a boy and a girl.They are my uncle's(8)and daughter.I have a sister,too.But she(9)in the photo.I am in a nice(10).I love my family.(1) A.at B.of C.in (2) A.grandparents B.parents C.grandfather (3) A.am B.are C.is (4) A.brother B.uncle C.aunt (5) A.brother B.sister C.friend (6) A.sons B.aunts C.brothers (7) A.one B.two C.three (8) A.boy B.son C.daughter (9) A.isn't B.are C.is (10) A.school B.class C.family 组卷:175引用:3难度:0.8
八、语篇填空,阅读短文,在空白处填入一个适当的单词或用括号内所给词的正确形式填空,使短文通顺、连贯。
-
20.阅读下面短文,按照句子结构的语法性和上下文连贯的要求,在空格处填入一个适当的词或使用括号中词语的正确形式填空(每空最多三个单词)。
There is a story in the book History as a Mirror(《资治通鉴》)by Chinese historian Sima Guang.
Zhi Xuanzi was the head of Zhi,a big family of Jin State during the Spring and Autumn Period.He wanted Zhi Yao(1)(be)the family head after him.(2),another man in the family disliked the idea.He listed five good things of Zhi Yao.For(3),he was good at riding and shooting.But Zhi Yao had a big problem:his virtue(品德).He had(4)unkind heart.
Zhi Xuanzi didn't listen(5)the idea.And still,Zhi Yao(6)(become)the head of the family.He(7)(quick)made the Zhi family develop.Soon it was much(8)(strong)than before.But because of his aggressive style,three other(9)(family)worked together to fight against the Zhi family.Finally,Zhi family lost the fight.
Sima Guang used this story to tell us that having talent is not enough.(10)talent and virtue are important.Excellent people must also have virtue.组卷:39引用:1难度:0.5
九、阅读与表达,阅读短文,然后根据内容回答问题。
-
21.Traveling to another country is exciting and fun.But if you don't learn about local customs,your trip could become a nightmare with misunderstandings and even trouble.Here are some cultural taboos(禁忌)in certain countries to help prevent things like that.Let's take a look and fit in with local culture.
US
One of the traditional customs for Americans is to tip jye.ai.People from non-tipping countries may forget to tip.And they may find themselves in an embarrassing situation.Also,pay attention when you have a conversation with Americans.As a tourist in the US,it is not polite to ask people questions like "How old are you?" and "How much do you make?"
Mexico
In Mexico,bringing an expensive gift to someone's home is a no-no.It could be seen as a bribe(贿赂).Something simple like flowers or a dessert are good gifts.But you should avoid taking along marigolds (金盏花) or red flowers,because in Mexican culture,they symbolize death and can be connected with witchcraft(巫术).To local people,white flowers are a good gift.
Britain
Be careful about hand gestures when you visit Britain.If you make the V sign with your palm(手掌)facing you,the locals may get angry.That's because this gesture means the same as the middle finger.It's an insult(侮辱).It is safe to hold off on hand gestures to prevent any misunderstandings.
Also,Britons are known for queuing.From the supermarket to the subway,queues are very common in Britain.Usually a British person spends six months of their life in queues.If you jump the queue in Britain,you may upset them.When you travel to another country,it's important to watch out for local customs.Here are some cultural taboos in certain countries to help you avoid misunderstandings and trouble.In the US,it's a(1) to tip nearly anyone with a service job.You should pay attention to the questions when you(2)with Americans.In Mexico,when you visit someone's home,you can bring something simple(3)marigolds(金盏花)or red flowers.In Britain,you should use hand gestures(4).Besides,queuing in public places is(5).If you jump the queue in Britain,you may upset them.组卷:1引用:1难度:0.8
十、书面表达。
-
22.根据所给的汉语提示,用英语写一段话,词数70字左右,内容必须包括一下提示:
假如你是John,这个星期六下午是你的生日,你要在你家举行一个生日派对,并邀请你的同学Simon参加.但是Simon不知道路线,你写信告知他如何走.请根据以下内容用英语写一份信.
从你家到我家很容易走.只要在你家大楼左转.然后在你家附近车站乘12路车到Red Star站下车;再沿着北大街往前走,在第二个交通灯向右转弯.一直往前走,会看到一座桥,走过桥然后向左转入公园路走过超市,会看到前面有一家银行.我家就在银行旁边,我住在三楼.
Dear Simon,
I'd like to invite you to my birthday party this Saturday afternoon.This is the way to my home.
I hope to see you soon.
Yours,
John.组卷:13引用:1难度:0.3

