当前位置:
试题详情
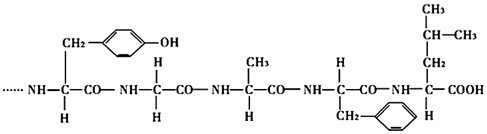
肉毒梭菌(厌氧性梭状芽孢杆菌)是致死性最高的病原体之一,广泛存在于自然界中。肉毒梭菌的致病性在于其产生的神经麻痹毒素,即肉毒类毒素。它是由两个亚单位(每个亚单位为一条链盘曲折叠而成)组成的一种生物大分子。如图是肉毒类毒素的局部结构简式:

(1)肉毒类毒素是在细胞中由氨基酸经过 脱水缩合脱水缩合过程而形成的。
(2)一分子肉毒类毒素至少含有 22个氨基和 22个羧基,羧基的结构式是 -COOH-COOH。
(3)1mg肉毒类毒素可毒死20亿只小鼠。但煮沸1min或75℃下加热5~10min,就能使其完全丧失活性。高温可使肉毒类毒素失活的主要原理是 高温使蛋白质的空间结构被破坏高温使蛋白质的空间结构被破坏。
(4)由如图所示可知,该片段由 55种氨基酸组成,有 44个肽键,在形成该片段时要脱去 44分子水,脱去的氧元素来自基本单位的 羧羧基,脱去的氧元素来自基本单位的 氨氨基和 羧羧基。
【答案】脱水缩合;2;2;-COOH;高温使蛋白质的空间结构被破坏;5;4;4;羧;氨;羧
【解答】
【点评】
声明:本试题解析著作权属菁优网所有,未经书面同意,不得复制发布。
发布:2024/11/29 8:0:2组卷:2引用:1难度:0.6




