1962年G.Y.Lesber等发现1,8-萘啶衍生物有抗菌作用分子中
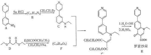
类似于苯环性质。罗素沙星就是其中一种药物,如图是合成罗素沙星的路线:

回答下列问题:
(I)E的化学名称是 甲酸乙酯甲酸乙酯。
(2)D所含官能团的名称 酯基酯基。
(3)B→C的化学反应方程式 
。
(4)D与E反应生成F外还有水生成,推测F的键线式为 
。
(5)C与F生成G的反应类型为 取代反应取代反应。
(6)满足下列条件的B的同分异构体有 99种,①分子中含一个六元环②分子中不含-C≡N③核磁共振氢谱中峰面积之比为3:1:1,写出其中六元环上只有一个取代基的结构简式为 
。






【考点】有机物的合成.
【答案】甲酸乙酯;酯基;
;
;取代反应;9;
;
;取代反应;9;
【解答】
【点评】
声明:本试题解析著作权属菁优网所有,未经书面同意,不得复制发布。
发布:2024/4/20 14:35:0组卷:7引用:1难度:0.5
相似题
-
1.由物质a为原料,制备物质d (金刚烷)的合成路线如图所示:

关于以上有机物的说法中,不正确的是( )发布:2024/12/30 14:30:1组卷:18引用:2难度:0.7 -
2.有机物K是某药物的前体,合成路线如图所示。

已知:R-CNR-CH2NH2;H2催化剂
R1-NH2+R2-COOC2H5催化剂
+C2H5OH。
(1)B的结构简式是。
(2)反应③的化学方程式是。
(3)E属于烃,其分子式是。
(4)H中含氧官能团的名称是。
(5)写出满足下列条件的K的一种同分异构体的结构简式:
①遇氯化铁溶液显紫色;
②不含醚键;
③核磁共振氢谱显示峰面积之比为2:12:2:2:1。
(6)H经三步反应合成K,写出J→K的化学方程式。
发布:2024/12/30 11:0:1组卷:19引用:3难度:0.3 -
3.油脂不仅是营养物质和主要食物,也是一种重要的工业原料。如图是以油脂为主要原料获得部分产品的合成路线:

已知:
①
②
(R1、R2、R3与R4可能是氢、烃基或其他基团)
回答下列问题:
(1)下列关于油脂的说法正确的是。(填标号)
a.油脂包括植物油和脂肪,属于酯类
b.天然油脂是混合物,无固定的熔点和沸点
c.油脂属天然高分子化合物
d.硬化油又叫人造脂肪,便于储存和运输,但容易被空气氧化变质
(2)G中官能团的名称为,反应①的反应类型为
(3)用系统命名法写出A的名称,C与F反应生成G的化学方程式为。
(4)二元取代芳香化合物H是G的同分异构体,H满足下列条件:
①能发生银镜反应,②酸性条件下水解产物物质的量之比为2:1,③不与NaHCO3溶液反应。
则符合上述条件的H共有种(不考虑立体结构,不包含G本身),其中核磁共振氢谱为五组峰的结构简式为(写出一种即可)。
(5)写出从HOCH2CH2OH→HCOOCH2CH2OOCH 的合成路线(无机试剂任选,合成路线参照题中的书写形式)。发布:2025/1/9 8:0:2组卷:10引用:1难度:0.1
相关试卷

