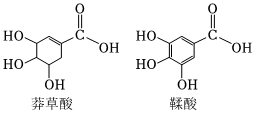
莽草酸是一种合成治疗禽流感药物达菲的原料,鞣酸存在于苹果、生石榴等植物中.下列关于这两种有机化合物的说法正确的是( )
【考点】有机物的结构和性质.
【答案】D
【解答】
【点评】
声明:本试题解析著作权属菁优网所有,未经书面同意,不得复制发布。
发布:2024/4/20 14:35:0组卷:24引用:7难度:0.7
相似题
-
1.下列叙述正确的是( )
①煤的气化和蛋白质的盐析是物理变化,石油的裂化和蛋白质的变性是化学变化
②淀粉、纤维素、蛋白质、油脂都是高分子都能发生水解反应
③用氢氧化钠溶液可以鉴别植物油和汽油
④一定条件下,用新制的Cu(OH)2 悬浊液可区分葡萄糖和蔗糖
⑤用平行光照射蛋白质溶液和葡萄糖溶液,在垂直光线的方向可看到一条光亮的通路
⑥油脂在酸性条件下的水解反应叫做皂化反应
⑦淀粉水解后的溶液,经氢氧化钠溶液中和后分两份,一份加新制氢氧化铜浊液,加热,出现砖红色沉淀;另一份加少量碘水,不变蓝;不能说明淀粉水解完全
⑧蔗糖、麦芽糖均属于二糖互为同分异构体,淀粉、纤维素均属于多糖,二者的分子式均为(C6H10O5)n不互为同分异构体.发布:2025/1/15 8:0:2组卷:22引用:1难度:0.7 -
2.下列说法不正确的是( )
发布:2025/1/9 8:0:2组卷:8引用:1难度:0.5 -
3.近期“问题奶粉”事件备受关注.为提高蛋白质含量检测所测出的含氮量,部分品牌奶粉中添加了对人体有害的三聚氰胺.三聚氰胺结构简式如图所示,下列说法错误的是( )发布:2025/1/23 8:0:2组卷:1引用:1难度:0.9

