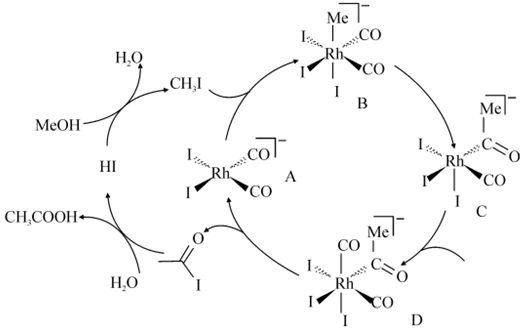
合成乙酸的传统方法是在稀的乙醇溶液中利用需氧菌的作用生产醋,然而这种方法在工业上生产高浓度乙酸时不经济。Monsanto公司后来开发了Rh催化剂,大大降低了成本。铑的络合物在甲醇(图中用MeOH表示)的羰基化制乙酸中具有高活性和选择性,如图是Rh催化剂合成醋酸的催化循环,其中A到B的转化是决速步。

下列有关说法不正确的是( )
【考点】配合物与超分子.
【答案】C
【解答】
【点评】
声明:本试题解析著作权属菁优网所有,未经书面同意,不得复制发布。
发布:2024/4/20 14:35:0组卷:48引用:1难度:0.8
相似题
-
1.在液氨中投入金属钠,迅速溶剂化得到蓝色电子液[Na+(NH3)x和e-(NH3)y]且过程中有少量H2产生。下列说法正确的是( )
发布:2025/1/4 8:0:1组卷:23引用:3难度:0.6 -
2.ZnSO4溶于氨水形成[Zn(NH3)4]SO4,其中配离子[Zn(NH3)4]2+的立体构型为正四面体形。下列说法正确的是( )
发布:2025/1/5 8:0:1组卷:58引用:1难度:0.5 -
3.Pt(NH3)2Cl2可以形成两种固体,一种为淡黄色,在水中的溶解度小,另一种为黄绿色,在水中的溶解度较大,请回答下列问题:
(1)Pt(NH3 )2 Cl2是平面正方形结构,还是四面体结构.
(2)请画出这两种固体分子的几何构型图,淡黄色固体:. 黄绿色固体:.
(3)淡黄色固体物质是由分子组成,黄绿色固体物质是由分子组成(填“极性分子”或“非极性分子”)发布:2024/12/30 17:0:2组卷:75引用:3难度:0.1
相关试卷

