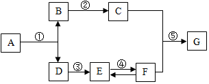
A-G是初中化学的常见物质,AB和EF分别是由相同元素组成的化合物,D、E、F在通常状况下是气体,G是大理石的主要成分,其转化关系如图所示,部分反应物、生成物和反应条件未标出。

(1)A的化学式是H2O2H2O2。
(2)反应②是放热反应,则反应②的化学方程式是CaO+H2O=Ca(OH)2CaO+H2O=Ca(OH)2。
(3)反应⑤的用途有检验二氧化碳等检验二氧化碳等。
(4)写出反应④的化学方程式CuO+CO △ Cu+CO2CuO+CO △ Cu+CO2。(要求该反应不属于化合反应)
△
△
【答案】H2O2;CaO+H2O=Ca(OH)2;检验二氧化碳等;CuO+CO Cu+CO2
△
【解答】
【点评】
声明:本试题解析著作权属菁优网所有,未经书面同意,不得复制发布。
发布:2026/2/24 22:0:1组卷:502引用:3难度:0.5
相似题
-
1.区分日常生活中的下列各组物质,所加试剂或操作方法完全正确的是( )
选项 需区分的物质 操作方法或所加试剂 A 白酒与白醋 ①品尝 ②闻气味 B 食盐和白糖 ①稀盐酸 ②加水溶解 C 合成纤维和天然纤维 ①烧同时闻气味 ②观察色泽 D 厕所清洁剂与厨房清洁剂 ①测pH ②石灰石 发布:2026/3/7 19:30:1组卷:5引用:8难度:0.9 -
2.A、B、C是三种常见的含钙化合物。它们之间有如图所示的转化关系(部分产物略去):
(1)A物质的化学式是,B物质的俗称是,C物质的名称是。
(2)向A的块状固体上滴加水,观察到大量的水蒸气产生,该现象说明。
(3)举出B物质在农业生产中的一种用途:。
(4)反应②的化学方程式为,该反应可以用来检验二氧化碳气体,实验现象是。
(5)反应③的基本反应类型是,该反应前后碳元素的化合价(填“改变”或“不改变”)。发布:2026/3/7 20:0:2组卷:166引用:11难度:0.5 -
3. 由C、H、O、Fe四种元素组成的初中常见物质间有如图所示的关系,其中甲、乙、丙是单质,X、Y是化合物.图中“-”表示相连的物质两两之间可以发生反应,“→”表示由某一物质可制得另一物质.
(1)以下判断错误的是;
A.甲、乙是非金属单质 B.物质X一定是H2O
C.物质Y一定是氧化物 D.甲与丙反应能生成X
(2)写出图中转化关系中两个化学反应的方程式:
①置换反应,②分解反应.发布:2026/3/7 20:0:2组卷:39引用:2难度:0.5

