菁于教,优于学
旗下产品
校本题库
菁优备课
开放平台
菁优测评
菁优公式
小优同学
菁优App
数字备考
充值服务
试卷征集
申请校本题库
智能组卷
免费试用
错题库
免费试用
五大核心功能
组卷功能
资源共享
在线作业
在线测评
试卷加工
游客模式
登录
试题
试题
试卷
课件
试卷征集
加入会员
操作视频
高中化学
小学
数学
语文
英语
奥数
科学
道德与法治
初中
数学
物理
化学
生物
地理
语文
英语
道德与法治
科学
信息技术
高中
数学
物理
化学
生物
地理
语文
英语
信息
通用
中职
数学
语文
英语
推荐
章节挑题
知识点挑题
智能挑题
收藏挑题
试卷中心
汇编专辑
细目表组卷
组卷圈
当前位置:
2021年湖南省衡阳八中高考化学考前预测试卷(二)
>
试题详情
下列离子方程式书写错误的是( )
A.将石灰乳加入到MgCl
2
溶液中得到氢氧化镁:Ca(OH)
2
+Mg
2+
═Mg(OH)
2
+Ca
2+
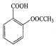
B.乙酰水杨酸
与NaOH溶液共热:
+3OH
-
△
+CH
3
COO
-
+2H
2
O
C.AgCl溶于过量浓氨水中:AgCl+2NH
3
⋅H
2
O═[Ag(NH
3
)
2
]
+
+Cl
-
+2H
2
O
D.向碘化亚铁溶液中滴加少量稀硝酸:NO
3
-
+3Fe
2+
+4H
+
═3Fe
3+
+NO↑+2H
2
O
【考点】
离子方程式的书写
.
【答案】
D
【解答】
【点评】
声明:本试题解析著作权属菁优网所有,未经书面同意,不得复制发布。
当前模式为游客模式,
立即登录
查看试卷全部内容及下载
发布:2024/4/20 14:35:0
组卷:57
引用:1
难度:0.5
相似题
1.
下列化学用语表达不正确的是( )
A.碳原子数为n的链状烷烃的通式:C
n
H
2n+2
B.HClO的结构式:H-O-Cl
C.Na
2
CO
3
溶液呈碱性的原因:CO
3
2-
+H
2
O⇌HCO
3
-
+OH
-
D.用醋酸除去水垢用离子方程式表示为:2H
+
+CaCO
3
═Ca
2+
+CO
2
↓+H
2
O
发布:2025/1/4 8:0:1
组卷:9
引用:1
难度:0.6
解析
2.
下列化学反应的离子方程式正确的是( )
A.氢氧化钡溶液与稀硫酸反应:Ba
2+
+SO
4
2-
+H
+
+OH
-
═BaSO
4
↓+H
2
O
B.钠与水反应:Na+H
2
O═Na
+
+OH
-
+H
2
↑
C.过量铁粉与稀硝酸反应:Fe+4H
+
+NO
3
-
═Fe
3+
+NO↑+2H
2
O
D.氯气与氯化亚铁溶液反应:2Fe
2+
+Cl
2
═2Fe
3+
+2Cl
-
发布:2025/1/6 7:30:5
组卷:63
引用:3
难度:0.7
解析
3.
下列指定反应的离子方程式正确的是( )
A.用石墨电极电解MgCl
2
溶液:2Cl
-
+2H
2
O
通电
2OH
-
+H
2
↑+Cl
2
↑
B.向AlCl
3
溶液中加入过量氨水:Al
3+
+4NH
3
•H
2
O═4NH
4
+
+AlO
2
-
+2H
2
O
C.乙醛与新制Cu(OH)
2
悬浊液加热:CH
3
CHO+2Cu(OH)
2
+OH
-
△
CH
3
COO
-
+Cu
2
O↓+3H
2
O
D.向Ba(OH)
2
溶液中加入过量NH
4
HSO
4
溶液:Ba
2+
+2OH
-
+NH
4
+
+H
+
+SO
4
2-
═BaSO
4
↓+NH
3
•H
2
O+H
2
O
发布:2025/1/3 17:30:5
组卷:52
引用:2
难度:0.7
解析
相关试卷
2021年湖南省衡阳八中高考化学考前预测试卷(二)
试卷征集
商务合作
服务条款
走进菁优
课件征集
帮助中心
兼职招聘
意见反馈
深圳市菁优智慧教育股份有限公司
粤ICP备10006842号
公网安备44030502001846号
©2010-2025 jyeoo.com 版权所有
深圳市市场监管
主体身份认证
APP开发者:深圳市菁优智慧教育股份有限公司
|
应用名称:菁优网
|
应用版本:5.2.4
|
隐私协议
|
第三方SDK
|
用户服务条款
广播电视节目制作经营许可证
|
出版物经营许可证
|
网站地图
本网部分资源来源于会员上传,除本网组织的资源外,版权归原作者所有,如有侵犯版权,请立刻和本网联系并提供证据,本网将在三个工作日内改正