向某硫酸和硫酸铜的混合溶液中加入某浓度的氢氧化钠溶液,产生沉淀的质量与加入氢氧化钠溶液的质量关系如图所示。下列说法错误的是( )
【考点】碱的化学性质.
【答案】D
【解答】
【点评】
声明:本试题解析著作权属菁优网所有,未经书面同意,不得复制发布。
发布:2024/11/12 0:30:1组卷:564引用:6难度:0.5
相似题
-
1.化学课堂上学生探究了如图所示的几个实验:

(1)图1实验中,蜡烛熄灭的原因是。
(2)图2实验中,使紫色干花(用石蕊溶液浸泡过)变红的物质是(填化学式)。
(3)图3实验中,滴入氢氧化钠浓溶液后,可观察到的实验现象是。发布:2026/2/9 4:30:1组卷:74引用:1难度:0.5 -
2.兴趣小组利用手持技术证明二氧化碳能与氢氧化钠发生化学反应,兴趣小组设计了“图1”的装置,加入25mL的氢氧化钠溶液,并开启pH传感器,测得的相关数据如“图2”,下面说法错误的是( )
发布:2026/2/9 4:30:1组卷:253引用:1难度:0.5 -
3.某化学兴趣小组开展的氢氧化钠性质系列探究活动如图所示。

回答下列问题:
(1)实验③观察到无色酚酞溶液变成色。
(2)实验④:
Ⅰ.当滴加稀盐酸至溶液呈中性时,溶液显色;继续滴加稀盐酸并用玻璃棒不断搅拌,此时溶液中的溶质除酚酞外还有(填化学式)。
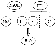
Ⅱ.如图是氢氧化钠与盐酸反应的微观模拟示意图:
从微观的角度分析,甲、乙两处应填入的离子符号分别为、。
(3)实验⑥⑦为用软矿泉水瓶所做的对比实验,装的软矿泉水瓶变瘪更明显,原因是(用化学方程式表示)。发布:2026/2/9 3:30:1组卷:143引用:1难度:0.5
相关试卷

