菁于教,优于学
旗下产品
校本题库
菁优备课
开放平台
菁优测评
菁优公式
小优同学
菁优App
数字备考
充值服务
试卷征集
申请校本题库
智能组卷
免费试用
错题库
免费试用
五大核心功能
组卷功能
资源共享
在线作业
在线测评
试卷加工
游客模式
登录
试题
试题
试卷
课件
试卷征集
加入会员
操作视频
初中物理
小学
数学
语文
英语
奥数
科学
道德与法治
初中
数学
物理
化学
生物
地理
语文
英语
道德与法治
科学
信息技术
高中
数学
物理
化学
生物
地理
语文
英语
信息
通用
中职
数学
语文
英语
推荐
章节挑题
知识点挑题
智能挑题
收藏挑题
试卷中心
汇编专辑
细目表组卷
组卷圈
当前位置:
2022-2023学年陕西省渭南市韩城市新城四中九年级(上)期末物理试卷(A卷)
>
试题详情
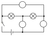
如图所示,将电流表或电压表的符号填入图中“〇”里,使开关闭合后灯L
1
、L
2
串联且都能发光。
【考点】
电流表的使用方法
.
【答案】
见试题解答内容
【解答】
【点评】
声明:本试题解析著作权属菁优网所有,未经书面同意,不得复制发布。
当前模式为游客模式,
立即登录
查看试卷全部内容及下载
发布:2025/9/25 11:0:1
组卷:622
引用:6
难度:0.7
相似题
1.
如图所示,当开关S闭合时,有可能造成电流表和电源都损坏的电路是( )
A.
B.
C.
D.
发布:2026/1/30 22:0:1
组卷:68
引用:17
难度:0.9
解析
2.
如图所示,闭合开关,两灯并联,各电表都能正常工作。甲是
表,乙是
表,丙是
表。
发布:2026/1/30 23:30:1
组卷:54
引用:4
难度:0.7
解析
3.
如图电流表所测的是
的电流。若要求改动一根接线,变为测总电流,请你直接在图中改接(不要的那根×掉,画上一根)。
发布:2026/1/31 0:30:1
组卷:151
引用:7
难度:0.9
解析
相关试卷
2022-2023学年陕西省渭南市韩城市新城四中九年级(上)期末物理试卷(A卷)
试卷征集
商务合作
服务条款
走进菁优
课件征集
帮助中心
兼职招聘
意见反馈
深圳市菁优智慧教育股份有限公司
粤ICP备10006842号
公网安备44030502001846号
©2010-2026 jyeoo.com 版权所有
深圳市市场监管
主体身份认证
APP开发者:深圳市菁优智慧教育股份有限公司
|
应用名称:菁优网
|
应用版本:5.2.8
|
隐私协议
|
第三方SDK
|
用户服务条款
广播电视节目制作经营许可证
|
出版物经营许可证
|
网站地图
本网部分资源来源于会员上传,除本网组织的资源外,版权归原作者所有,如有侵犯版权,请立刻和本网联系并提供证据,本网将在三个工作日内改正