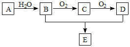
某烃A是有机化学工业的基本原料,其产量可以用来衡量一个国家的石油化工发展水平,A在一定条件下可发生如图所示的转化,请回答下列问题:
(1)B的同分异构体的结构简式为CH3OCH3CH3OCH3;C的官能团的名称为:醛基醛基.
(2)写出B与D在浓H2SO4存在条件下加热反应生成E的化学方程式:CH3COOH+C2H5OH浓硫酸△CH3COOC2H5+H2OCH3COOH+C2H5OH浓硫酸△CH3COOC2H5+H2O.
浓硫酸
△
浓硫酸
△
【考点】有机物的推断.
【答案】CH3OCH3;醛基;CH3COOH+C2H5OHCH3COOC2H5+H2O
浓硫酸
△
【解答】
【点评】
声明:本试题解析著作权属菁优网所有,未经书面同意,不得复制发布。
发布:2024/4/20 14:35:0组卷:49引用:2难度:0.5
相似题
-
1.石油是工业的血液,与我们的生产、生活息息相关,乙烯的产量通常用来衡量一个国家的石油化工水平。根据下面转化关系回答下列问题:

(1)操作①、操作②的名称分别为、。
(2)乙烯的结构简式为。
(3)写出乙烯和水反应生成B的反应③的方程式(注明条件):,反应类型为。写出反应⑥的化学方程式(注明条件):。
(4)物质C的沸点为12.27℃,常用于局部冷冻麻醉应急处理。物质C可通过反应④和反应⑥制得,其中最好的方法是反应(填“④”或“⑥”),理由为。发布:2024/12/30 14:30:1组卷:13引用:4难度:0.5 -
2.有机化合物A的相对分子质量是28的烃,B和D都是日常生活食品中常见的有机物。它们的转化关系如图所示:

请回答下列问题:
(1)A的结构简式为,可通过石油的(填“蒸馏”、“干馏”或“裂解”)获得。
(2)①的反应类型为,D分子中所含官能团的名称为。丙烯与A互为同系物,聚丙烯的结构简式为。
(3)反应④的化学方程式为:,该反应中,浓硫酸所起的作用是。
(4)以淀粉为原料经反应⑤、⑥也可制得B,下列说法正确的是(填字母)
a.纤维素和淀粉一样也可用于生产B
b.反应⑤⑥都属于水解反应
c.淀粉属于糖类,糖类都是高分子化合物
d.淀粉水解的最终产物可用银氨溶液或新制氢氧化铜检验发布:2025/1/6 8:0:1组卷:35引用:1难度:0.4 -
3.葡萄糖是人类的营养素,在体内富氧条件下被氧化生成二氧化碳和水,在缺氧条件下则生成一种有机酸A.
①已知
②将A进行如图所示的反应,其中C和C′是同系物,C′是甲酸(HCOOH).
回答下列问题:
(1)C和D′属于(填序号,下同).
①同系物 ②同分异构体 ③同类物质 ④同素异形体
(2)D′和E分别属于哪一类化合物:D′,E.
①多元醇 ②醛 ③不饱和羧酸 ④多元羧酸 ⑤酯
(3)写出结构简式:A,F,H.
(4)写出反应类型:(Ⅰ),(Ⅱ).
(5)写出下列转化的化学方程式:A-→B;A-→E.发布:2024/12/30 14:30:1组卷:13引用:2难度:0.5

