试卷征集
加入会员
操作视频
当前位置: 试卷中心 > 试卷详情

2021-2022学年广东省高三(上)联考化学试卷(11月份)

发布:2024/12/3 5:30:3

一、选择题:本题共16小题,共44分。第1~10小题,每小题2分;第11~16小题,每小题2分。在每小题给出的四个选项中,只有一项是符合题目要求的。

  • 1.传统文化是中华文明的重要组成部分。下列关于传统文化摘录的化学解读错误的是(  )
    选项 传统文化摘录 化学解读
    A 墙角数枝梅,凌寒独白开。遥知不是雪,为有暗香来 分子是不断运动的
    B 千淘万滩虽辛苦,吹尽狂沙始到金 黄金的化学性质很稳定
    C 纷纷灿烂如星陨,㸌㸌喧豗似火攻 焰色反应是物理变化
    D 有硇水者,翦银块投之,则旋而为水 “硇水”指盐酸

    组卷:21引用:5难度:0.7
  • 2.据西汉东方朔所撰的《神异经•中荒经》载,“西北有宫,黄铜为墙,题曰:地皇之宫。”文中“黄铜”的主要成分是铜锌,还含少量锡、铅。下列说法错误的是(  )

    组卷:38引用:8难度:0.7
  • 3.下列各组离子在指定溶液中能大量共存的是(  )

    组卷:8引用:4难度:0.7
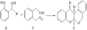
  • 4.我国科学家仿生催化合成四环色烯缩酮(Z)的反应原理如图,已知:R为经基。下列说法正确的是(  )

    组卷:32引用:6难度:0.6
  • 5.下列操作不能达到目的的是(  )

    组卷:12引用:7难度:0.5
  • 6.下列离子方程式正确的是(  )

    组卷:37引用:11难度:0.7
  • 7.工业上用CO2制备甲醇,发生的反应为CO2(g)+3H2(g)⇌CH3OH(g)+H2O(g)ΔH=-49kJ•mol-1。下列有关该反应的说法正确的是(  )

    组卷:12引用:5难度:0.6

[选修3:物质结构与性质]

  • 20.工业上采用还原法冶炼黄金(Au)的原理如下:
    ①4Au+8NaCN+2H2O+O2═4Na[Au(CN)2]+4NaOH,
    ②Na[Au(CN)2]+Zn═2Au+Na2Zn(CN)4
    请回答下列问题:
    (1)在元素周期表中,Au与Cu位于同族,基态Au原子比基态Cu原子多2个电子层。基态Au原子的价层电子排布式为
     
    ,金元素位于
     
    区。
    (2)Zn和Cu相邻,第一电离能:I1(Cu)
     
    (填“>”、“<”或“=”,下同)I1(Zn),第二电离能:I2(Cu)
     
    I2(Zn)。
    (3)1mol[Zn(CN)4]2-中含
     
    molσ键。
    (4)已知卤化锌的熔点如表所示:
    卤化锌 ZnF2 ZnCl2 ZnBr2 ZnI2
    熔点/℃ 872 283 394 446
    卤化锌的熔点存在差异的主要原因是
     

    (5)由金、氯、铯三种元素组成的晶体M,其晶胞结构如图1所示,M的化学式为
     
    ,其中金原子形成了2种不同的配离子(均呈负一价),它们分别是
     
     
    (写出离子符号,不分顺序)。

    (6)金晶体的晶胞结构如图2所示,其晶胞参数为408pm,金晶体的密度为
     
    (只列计算式,设NA为阿伏加德罗常数的值)g•cm-3

    组卷:17引用:5难度:0.6

[选修5:有机化学基础]

  • 21.是某药物的中间体,一种合成Ⅻ的路线如图:

    已知:Ⅲ和Ⅳ所含官能团相同。
    请回答下列问题:
    (1)Ⅶ中所含官能团的名称是
     
    ,Ⅳ的名称是
     

    (2)Ⅷ→X的反应类型是
     

    (3)Ⅱ的结构简式为
     

    (4)X→Ⅻ的化学方程式为
     

    (5)ⅩⅢ是Ⅵ的同分异构体,同时满足下列条件的ⅩⅢ的结构(不考虑立体异构)有
     
    种。
    ①遇FeCl3溶液发生显色反应
    ②能发生银镜反应
    ③除苯环外不含其他环
    (6)请设计以1-溴丙烷和Ⅲ为原料合成的合成路线(其他无机试剂任选)
     

    组卷:41引用:6难度:0.5
深圳市菁优智慧教育股份有限公司
粤ICP备10006842号公网安备44030502001846号
©2010-2025 jyeoo.com 版权所有
APP开发者:深圳市菁优智慧教育股份有限公司| 应用名称:菁优网 | 应用版本:5.2.0 |隐私协议|第三方SDK|用户服务条款
广播电视节目制作经营许可证|出版物经营许可证|网站地图
本网部分资源来源于会员上传,除本网组织的资源外,版权归原作者所有,如有侵犯版权,请立刻和本网联系并提供证据,本网将在三个工作日内改正