2020-2021学年安徽省滁州市定远县育才学校高三(上)第二次月考生物试卷
发布:2025/11/22 22:0:26
一、本大题共24小题,每小题2分,共48分。在每小题给出的四个选项中,只有一项是符合题目要求的。
-
1.下列与细胞分化、癌变、衰老和凋亡等有关的叙述,正确的是( )
组卷:10引用:1难度:0.7 -
2.下列关于癌细胞的叙述中,错误的是( )
组卷:0引用:1难度:0.8 -
3.将刚采摘的新鲜蓝莓随机均分为两份,放在1℃的冷库中贮藏,其中一份用高浓度的CO2处理48h,另一份则不做处理。从采摘后算起每10天取样一次,测定其单位时间内CO2释放量和O2吸收量,计算二者的比值得到如图所示结果。下列有关叙述不正确的是( )组卷:48引用:3难度:0.6 -
4.遗传学是自然科学领域中探究生物遗传和变异规律的科学。下列有关遗传学基本概念及其应用的叙述,错误的是( )
组卷:1引用:0难度:0.5 -
5.科学家以两种不同帽形(伞形帽和菊花形帽)的伞藻为实验材料进行实验,以探究细胞核的功能,下列相关叙述错误的是( )组卷:8引用:2难度:0.7 -
6.下列关于遗传学的理解和应用,正确的是( )
组卷:15引用:1难度:0.7 -
7.如图表示真核细胞中遗传信息的表达过程,其中①~④表示细胞结构或物质,Ⅰ、Ⅱ表示过程。下列有关叙述不正确的是( )组卷:0引用:1难度:0.7 -
8.下列关于元素和化合物的叙述,错误的是( )
组卷:3引用:2难度:0.7 -
9.细胞中糖类主要是作为能源物质,但也有部分作为细胞结构的构成物质.下列细胞结构中不含糖类的是( )
组卷:18引用:1难度:0.7 -
10.孟德尔一对相对性状的杂交实验中,纯种高茎和矮茎豌豆杂交获得F1,F1自交,F2出现3:1的性状分离比.下列叙述错误的是( )
组卷:12引用:2难度:0.5 -
11.如图表示孟德尔用豌豆进行杂交实验的操作过程。下列有关叙述错误的是( )组卷:11引用:2难度:0.8 -
12.胰岛素分子由A、B两条肽链组成,A链有21个氨基酸,B链有30个氨基酸。胰岛素分子中的肽键数目是( )
组卷:64引用:1难度:0.8 -
13.如图为细胞中的部分结构示意图。下列有关说法不正确的是( )
组卷:24引用:6难度:0.7 -
14.红眼雌果蝇与白眼雄果蝇交配,F1雌雄果蝇都表现为红眼,这些雌雄果蝇交配产生F1,F2中红眼雄果蝇占
,白眼雄果蝇占14,红眼雌果蝇占14。下列叙述错误的是( )12组卷:22引用:6难度:0.7 -
15.乙型肝炎是由乙肝病毒(HBV)感染引起的。完整的HBV是由一个囊膜和核衣壳组成的病毒颗粒,其DNA分子是一个有部分单链区的环状双链DNA。如图所示为乙肝病毒在肝脏细胞中的增殖过程。相关说法不正确的是( )组卷:1引用:1难度:0.6 -
16.关于遗传学的经典实验,叙述正确的是( )
①“基因位于染色体上”是由萨顿提出,摩尔根通过实验验证的
②科学家用放射性同位素示踪法和离心法证实了DNA是半保留复制
③噬菌体侵染细菌实验和格里菲思的肺炎链球菌转化实验均证实了DNA是遗传物质
④沃森和克里克利用物理模型揭示了DNA分子的双螺旋结构组卷:32引用:3难度:0.7 -
17.大豆与根瘤菌是互利共生关系,如图为大豆叶片及根瘤中部分物质的代谢、运输过程。据图分析,下列相关叙述正确的是( )
组卷:1引用:2难度:0.5 -
18.下列叙述正确的是( )
组卷:16引用:1难度:0.6 -
19.人类胚胎干细胞分化存在如图所示的调控机制:H基因甲基化抑制其表达,从而促进胚胎干细胞分化。H基因转录产物为H-RNA,H-RNA上甲基化的腺嘌呤可与Y蛋白结合,使Y蛋白能够结合H基因的启动子,并招募去除DNA甲基化的T酶。下列叙述正确的是( )
组卷:26引用:1难度:0.5 -
20.在格里菲思的肺炎双球菌转化实验中,处于某一时期的R型菌分泌感受态因子,诱导细胞产生自溶素,导致细胞壁局部缺失使细胞表面的膜结合蛋白和核酸酶暴露出来;R型菌释放的核酸酶将S型菌的DNA切割成较小的DNA片段,然后S型菌的DNA片段双链被打开,其中一条链被降解,另一条链进入细胞与R型菌的DNA同源配对,切除并替换相应的单链片段,形成一个杂合DNA区段。下列关于肺炎双球菌的叙述,正确的是( )
组卷:4引用:1难度:0.6 -
21.下列关于线粒体结构和功能的说法,错误的是( )
组卷:17引用:5难度:0.9 -
22.关于细胞有丝分裂的叙述,正确的是( )
组卷:13引用:2难度:0.7 -
23.与静坐状态相比,人体剧烈运动时,通常情况下会出现的是( )
组卷:15引用:2难度:0.7 -
24.下列关于同源染色体和四分体的叙述,错误的是( )
组卷:17引用:4难度:0.7
二、非选择题(共4小题,满分52分)
-
25.如图的A、B 2种不同类型的细胞某些结构图,请据图回答下列问题:

(1)图A中,具有双层膜的细胞结构有[](填代号),单层膜的细胞器有[](填代号).
(2)图A是细胞亚显微结构模型,理由是.
(3)若图A细胞是西瓜红色果肉细胞,则色素主要存在于[].如果是植物的根毛细胞,则图中不应有的结构是[].
(4)与B细胞相比,A细胞中特有的能产生ATP的结构是[].
(5)B细胞的某种分泌蛋白,在核糖体中合成之后,按照(用箭头和结构名称表示)的方向运到细胞外.
(6)图A中[4]和[6]两种具膜结构的细胞器为适应各自的功能,都有增大膜面积的方式,它们分别是.
(7)要研究图B所示分泌蛋白的分泌过程,一般采用的研究方法是.
(8)若图B细胞表示动物胰脏内的细胞,①可能为.
(9)若用丙酮从细胞B中提取出脂质,在空气--水面上铺展成单分子层,测得的单分子层面积(大于、小于、约等于)细胞表面积的2倍?理由.组卷:5引用:2难度:0.5 -
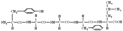
26.脑啡肽的合成采用的是蛋白质工程技术,这是生物发展在分子水平上的又一突破。请根据此化合物的结构分析回答:

(1)脑啡肽能与发生特定颜色反应,呈色。
(2)该化合物是由个氨基酸失去分子水而形成的,这样的反应叫做,形成的肽键结构式为,相对分子质量减少了。
(3)脑啡肽水解后可产生种氨基酸,造成氨基酸种类不同的原因是,氨基酸的结构通式为。组卷:9引用:1难度:0.1 -
27.家蚕是重要的经济昆虫,更是经典遗传学研究的模式生物之十。其性别决定方式为ZW型性别决定。许多研究证明雄蚕比雌蚕叶丝转化率高,而且雄蚕丝丝质好,如何进行雌雄个体的筛选,众多科学家给出了不同的解决方案。
(1)方案一:家蚕常染色体。上有一对控制卵色的基因,通常情况下黑色A对淡黄褐色a为显性,但a基因数目多于A基因数目时,家蚕卵色表现为淡黄褐色,科学家利用诱变技术将a基因转移到W染色体上,并培育出了AAZWa的雌性(黑卵)个体,这属于变异。并使该雌性家蚕与正常aaZZ雄性(淡黄褐色)个体交配,生下的后代中雌性(卵)和雄性(卵)将分别表现为。
(2)方案二:利用诱变技术使Z染色体上出现隐性纯合致死基因b(ZbZb和ZbW均属于隐性纯合子),利用该基因是否可通过杂交实验使后代雄性个体全部死亡,请用遗传图解表示。
(3)方案三:利用诱变技术培育平衡致死系,使某雄性家蚕Z染色体上同时出现两种隐性纯合致死基因b和d,并使其与正常雌性个体杂交,若要使后代雌性家蚕全部死亡,雄性家蚕全部存活,需要满足的条件是。组卷:15引用:1难度:0.6 -
28.根据光合作用图解回答问题:

(1)图中编号所代表的物质分别是:①;②;③;④。
(2)暗反应需要光反应提供的物质是和。
(3)图中⑤是阶段,反应场所是叶绿体的,图中⑥是阶段,反应场所是叶绿体的。组卷:0引用:1难度:0.5

